This article was co-authored by wikiHow Staff. Our trained team of editors and researchers validate articles for accuracy and comprehensiveness. wikiHow's Content Management Team carefully monitors the work from our editorial staff to ensure that each article is backed by trusted research and meets our high quality standards.
This article has been viewed 206,510 times.
Learn more...
The distributive property is a rule in mathematics to help simplify an equation with parentheses. You learned early that you perform the operations inside parentheses first, but with algebraic expressions, that isn’t always possible. The distributive property allows you to multiply the term outside the parentheses by the terms inside. You need to make sure that you do it properly so you don’t lose any information and solve the equation correctly. You can also use the distributive property to simplify equations involving fractions.
Steps
Using the Basic Distributive Property
-
1Multiply the term outside of the parentheses by each term in the parentheses. To do this, you are essentially distributing the outer term into the inner terms. Multiply the term outside the parentheses by the first term in the parentheses. Then multiply it by the second term. If there are more than two terms, keep distributing the term until there are no terms left. Keep whatever operation (plus or minus) is in the parentheses.[1]
-
2Combine like terms. Before you can solve the equation, you will have to combine like terms. Combine all numerical terms with each other. Separately, combine any variable terms. To simplify the equation, arrange the terms so the variables are on one side of the equals sign and the constants (numbers only) are on the other.[2]
- …..(original problem)
- ….. (Add 6 to both sides)
- ….. (Variable on left; constant on right)
Advertisement -
3Solve the equation. Solve for by dividing both sides of the equation by the coefficient in front of the variable.[3]
- …..(original problem)
- …..(divide both sides by 2)
- …..(solution)
Distributing Negative Coefficients
-
1Distribute a negative number together with its negative sign. If you have a negative number multiplying a term or terms within parentheses, be sure to distribute the negative to each term inside the parentheses.[4]
- Remember the basic rules of multiplying negatives:
- Neg. x Neg. = Pos.
- Neg. x Pos. = Neg.
- Consider the following example:
- ….. (original problem)
- …..(distribute (-4) to each term)
- …..(simplify the multiplication)
- …..(notice that ‘minus -12’ becomes +12)
- Remember the basic rules of multiplying negatives:
-
2Combine like terms. After you complete the distribution, you then need to simplify the equation by moving all the variable terms to one side of the equals sign, and all the numbers without variables to the other. Do this by a combination of addition or subtraction.[5]
- …..(original problem)
- …..(add 36 to each side)
- …..(simplify the addition to isolate the variable)
-
3Divide to find the final solution. Solve the equation by dividing both sides of the equation by whatever the coefficient of the variable is. This should result in a single variable on one side of the equation, with the result on the other.[6]
- …..(original problem)
- …..(divide both sides by 12)
- …..(solution)
-
4Treat subtraction as adding (-1). Whenever you see a minus sign in an algebra problem, particularly if it comes before a parenthesis, you should imagine that it says + (-1). This will help you correctly distribute the negative to all the terms within the parentheses. Then solve the problem as before.[7]
- For example, consider the problem, . To be certain that you distribute the negative properly, rewrite the problem to read:
- Then distribute the (-1) to the terms inside the parentheses as follows:
- …..(revised problem)
- …..(multiply (-1) times x and times 2)
- …..(combine terms)
- …..(add 2 to both sides)
- …..(simplify terms)
- …..(divide both sides by 3)
- …..(solution)
- For example, consider the problem, . To be certain that you distribute the negative properly, rewrite the problem to read:
Using the Distributive Property to Simplify Fractions
-
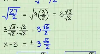
1Identify any fractional coefficients or constants. Sometimes, you may have a problem that contains fractions as coefficients or constants. You are allowed to leave them as they are and apply the basic rules of algebra to solve the problem. However, using the distributive property can often simplify the solution by turning the fractions into integers.[8]
- Consider the example . The fractions in this problem are and .
-
2Find the lowest common multiple (LCM) for all denominators. For this step, you can ignore all the integers. Look only at the fractions, and find the LCM for all the denominators. To find the LCM, you need the smallest number that is evenly divisible by the denominators of the fractions in the equation. In this example, the denominators are 3 and 6, so the LCM is 6.[9]
-
3Multiply all terms of the equation by the LCM. Remember that you can perform any operation that you want to an algebra equation, as long as you do it equally to both sides. Multiply all terms of the equation by the LCM, and the fractions will cancel out and “become” integers. Place parentheses around the entire left and right sides of the equation and then perform the distribution:[10]
- …..(original equation)
- …..(insert parentheses)
- …..(multiply both sides by LCM)
- …..(distribute multiplication)
- …..(simplify multiplication)
-
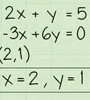
4Combine like terms. Combine all of the terms so all the variables appear on one side of the equation, and all constants appear on the other. Use basic operations of addition and subtraction to move terms from one side to the other.[11]
- …..(simplified problem)
- …..(subtract 2x from both sides)
- …..(simplify subtraction)
- …..(add 18 to both sides)
- …..(simplify addition)
-
5Solve the equation. Find the final solution by dividing both sides of the equation by the coefficient of the variable. This should leave a single x term on one side of the equation, and the numerical solution on the other.[12]
- …..(revised problem)
- …..(divide both sides by 4)
- …..(final solution)
Distributing a Long Fraction
-
1Interpret a long fraction as distributed division. You may occasionally see a problem that contains multiple terms in the numerator of a fraction, over a single denominator. You need to treat this as a distributive problem and apply the denominator to each term of the numerator. You can rewrite the fraction to show the distribution, as follows:
- .....(original problem)
- .....(distribute the denominator to each term of the numerator)
-
2Simplify each numerator as a separate fraction. After distributing the denominator to each term, you can then simplify each term individually.
- .....(revised problem)
- .....(simplify the fractions)
-
3Isolate the variable. Proceed to solve the problem by isolating the variable on one side of the equation and moving the constant terms to the other side. Do this with a combination of addition and subtraction steps, as needed.
- .....(revised problem)
- .....(subtract 4 from both sides)
- .....(isolated x on one side)
-
4Divide by the coefficient to solve the problem. In the final step, divide by the coefficient of the variable. This should lead you to the final solution, with the single variable on one side of the equation and the numerical solution on the other.
- .....(revised problem)
- .....(divide both sides by 2)
- .....(solution)
-
5Avoid the common trap of dividing only one term. It is tempting (but incorrect) to divide the first numerator term by the denominator and cancel out the fraction. A mistake like this, for the problem above, would look like the following:
- .....(original problem)
- .....(divide only 4x by 2 instead of the full numerator)
- ..... (incorrect solution)
-
6Check the correctness of your solution. You can always check your work by inserting your solution into the original problem. When you simplify, you should reach a true statement. If you simplify and get an incorrect statement, then your solution was incorrect. For this example, test the two solutions of x=0 and x=-2 to see which is correct.
- Begin with the solution x=0:
- .....(original problem)
- .....(insert 0 for x)
- .....(true statement. This is the correct solution.)
- Try the "false" solution of x=-2:
- .....(original problem)
- .....(insert -2 for x)
- .....(incorrect statement. Therefore, x=-2 is false.)
- Begin with the solution x=0:
Community Q&A
-
QuestionHow would I do -6(a+8)?
Community Answer-6(a+8) = -6a-48, the number outside the bracket multiplies everything inside the bracket. i.e. (-6 x a) + (-6 x 8) = -6a - 48. -
QuestionWhere do I put the parentheses in this equation: 6x+2-2x=4x+12?
DonaganTop AnswererOn the left side of the equation, enclose "x+2" inside parentheses. It will look like 6(x+2)-2x=4x+12. -
QuestionHow would I solve 9x15=(9x9)+(9x )=?
Community AnswerThis is an effort to show you that you can rewrite a multiplication problem, using the distributive property. Instead of performing 9x15, you can break the 15 into smaller parts. In this case, someone has chosen 9 and the first part and you have to fill in the rest. Since 9+6=15, the blank space in your problem will be filled in with a 6. You will then have 9x15=(9x9)+(9x6). If you can resolve those two parentheses in your head and add them, you can do the solution. 9x9=81, and 9+6=54, so 81+54=135. Therefore the original problem 9x15=135.
References
- ↑ http://www.mathplanet.com/education/algebra-1/exploring-real-numbers/the-distributive-property
- ↑ http://www.mathplanet.com/education/algebra-1/exploring-real-numbers/the-distributive-property
- ↑ http://www.mathplanet.com/education/algebra-1/exploring-real-numbers/the-distributive-property
- ↑ https://www.chilimath.com/lessons/introductory-algebra/distributive-property/
- ↑ https://www.chilimath.com/lessons/introductory-algebra/distributive-property/
- ↑ https://www.chilimath.com/lessons/introductory-algebra/distributive-property/
- ↑ https://www.chilimath.com/lessons/introductory-algebra/distributive-property/
- ↑ https://virtualnerd.com/algebra-2/equations-inequalities/real-numbers/distributive-property/distribute-whole-numbers-and-fractions
- ↑ https://virtualnerd.com/algebra-2/equations-inequalities/real-numbers/distributive-property/distribute-whole-numbers-and-fractions
- ↑ https://virtualnerd.com/algebra-2/equations-inequalities/real-numbers/distributive-property/distribute-whole-numbers-and-fractions
- ↑ https://virtualnerd.com/algebra-2/equations-inequalities/real-numbers/distributive-property/distribute-whole-numbers-and-fractions
- ↑ https://virtualnerd.com/algebra-2/equations-inequalities/real-numbers/distributive-property/distribute-whole-numbers-and-fractions
About This Article
To use the distributive property to solve an equation, multiply the term outside the parenthesis by each term inside the parenthesis. For example, if there is a 4 outside the parenthesis and an x minus 3 inside of them, change it to 4 times x minus 4 times 3. Then, combine all of the numbers into one group, and all of the variables into another. In our example, that would be 4x minus 12. Finally, solve the equation as usual. Keep reading to learn how to use the distributive property with fractions and division!



















































































































