This article was co-authored by wikiHow Staff. Our trained team of editors and researchers validate articles for accuracy and comprehensiveness. wikiHow's Content Management Team carefully monitors the work from our editorial staff to ensure that each article is backed by trusted research and meets our high quality standards.
This article has been viewed 341,955 times.
Learn more...
Inverse functions can be very useful in solving numerous mathematical problems. Being able to take a function and find its inverse function is a powerful tool. With quadratic equations, however, this can be quite a complicated process. First, you must define the equation carefully, be setting an appropriate domain and range. You then have a choice of three methods to calculate the inverse function. The choice of method is mostly up to your personal preference.
Steps
Finding the Inverse of a Simple Function
-
1Look for a function in the form of . If you have the “right” kind of function to begin, you can find the inverse using some simple algebra. This form is something of a variation of . Comparing this to a standard form quadratic function, , you should notice that the central term, , is missing. Another way to say this is that the value of b is 0. If your function is in this form, finding the inverse is fairly easy.
- Your beginning function does not have to look exactly like . As long as you can look at it and see that the function consists only of terms and constant numbers, you will be able to use this method.
- For example, suppose you begin with the equation, . A quick examination of this equation shows that there are no terms of to the first power. This equation is a candidate for this method to find an inverse function.
-
2Simplify by combining like terms. The initial equation may have multiple terms in a combination of addition and subtraction. Your first step is to combine like terms to simplify the equation and rewrite it in the standard format of .
- Taking the sample equation, , the y-terms can be consolidated on the left by subtracting a y from both sides. The other terms can be consolidated on the right by adding 6 to both sides and subtracting x^2 from both sides. The resulting equation will be .
Advertisement -
3Determine the domain and range of the simplified function. Recall that the domain of a function consists of the possible values of x that can be applied to provide a real solution. The range of a function consists of the values of y that will result. To determine the domain of the function, look for values that create a mathematically impossible result. You will then report the domain as all other values of x. To find the range, consider the values of y at any boundary points and look at the behavior of the function.[1]
- Consider the sample equation . There is no limitation on allowable values of x for this equation. However, you should recognize that this is the equation of a parabola, centered at x=0, and a parabola is not a function because it does not consist of a one-to-one mapping of x and y values. To limit this equation and make it a function, for which we can find an inverse, we must define the domain as x≥0.
- The range is similarly limited. Notice that the first term, , will always be positive or 0, for any value of x. When the equation then adds +2, the range will be any values y≥2.
- Defining the domain and range at this early stage is necessary. You will use these definitions later in defining the domain and range of the inverse function. In fact, the domain of the original function will become the range of the inverse function, and the range of the original will become the domain of the inverse.
-
4Switch the roles of the x and y terms. Without changing the equation in any other way, you need to replace all appearance of y with an x, and all appearances of x with a y. This is the step that actually “inverts” the equation.
- Working with the sample equation , this inversion step will result in the new equation of .
- An alternate format is to replace the y terms with x, but replace the x terms with either or to indicate the inverse function.
-
5Rewrite the inverted equation in terms of y. Using a combination of algebraic steps, and taking care to perform the same operation evenly on both sides of the equation, you will need to isolate the y variable. For the working equation , this revision will look like the following:[2]
- (original starting point)
- (subtract 2 from both sides)
- (divide both sides by 2)
- ± (square root of both sides; remember that the square root results in both positive and negative possible answers)
-
6Determine the domain and range of the inverse function. As you did at the beginning, examine the inverted equation to define its domain and range. With two possible solutions, you will select the one that has a domain and range that are inverses of the original domain and range.[3]
- Examine the sample equation solution of ±. Because the square root function is not defined for any negative values, the term must always be positive. Therefore, allowable values of x (the domain) must be x≥2. Using that as the domain, the resulting values of y (the range) are either all values y≥0, if you take the positive solution of the square root, or y≤0, if you select the negative solution of the square root. Recall that you originally defined the domain as x≥0, in order to be able to find the inverse function. Therefore, the correct solution for the inverse function is the positive option.
- Compare the domain and range of the inverse to the domain and range of the original. Recall that for the original function, , the domain was defined as all values of x≥0, and the range was defined as all values y≥2. For the inverse function, now, these values switch, and the domain is all values x≥2, and the range is all values of y≥0.
-
7Check that your inverse function works. To make sure that your work is correct and your inverse is the right equation, select any value for x and place it into the original equation to find y. Then, put that value of y in the place of x in your inverse equation, and see if you generate the number that you started with. If so, your inverse function is correct.[4]
- As a sample, select the value x=1 to place in the original equation . This gives the result y=4.
- Next, place that value of 4 into the inverse function . This does give the result of y=1. You can conclude that your inverse function is correct.
Completing the Square to Determine the Inverse Function
-
1Set up the quadratic equation in the proper form. In order to begin finding the inverse, you must begin with the equation in the format . If necessary, you may need to combine similar terms to get the equation into this format. With the equation written this way, you can begin to tell some information about it.[5]
- The first thing to notice is the value of the coefficient a. If a>0, then the equation defines a parabola whose ends point upward. If a<0, the equation defines a parabola whose ends point downward. Notice that a≠0. If it did, then this would be a linear function and not quadratic.
-
2Recognize the standard format of the quadratic. Before you can find the inverse function, you will need to rewrite your equation into the standard format. The standard format for any quadratic function is . The numerical terms a, h and k will be developed as you transform the equation through a process known as completing the square.[6]
- Notice that this standard format consists of a perfect square term, , which is then adjusted by the other two elements a and k. To get to this perfect square form, you will need to create certain conditions in your quadratic equation.
-
3Recall the form of a perfect square quadratic function. Remember that a quadratic function that is a perfect square originates with two binomials of , or . When you perform this multiplication, you get a result of . Thus, the first term of the quadratic is the first term of the binomial, squared, and the last term of the quadratic is the square of the second term of the binomial. The middle term is comprised of 2 times the product of the two terms, in this case .[7]
- To complete the square, you will be working in reverse. You will start with and some second x-term. From the coefficient of that term, which you can define as “2b,” you will need to find . This will require a combination of dividing by two and then squaring that result.
-
4Make sure the coefficient on is 1. Recall the original form of the quadratic function . If the first coefficient is anything other than 1, then you must divide all terms by that value, to set a=1.[8]
- For example, consider the quadratic function . You must simplify this by dividing all terms by 2, to yield the resulting function . The coefficient 2 will remain outside of the parentheses and will be part of your final solution.
- If all terms are not multiples of a, you will wind up with fractional coefficients. For example, the function will simplify to . Work carefully with the fractions as necessary.
-
5Find one-half of the middle coefficient and square it. You already have the first two terms of the perfect square quadratic. These are the term and whatever coefficient appears in front of the x-term. By taking that coefficient to be whatever value it is, you will add or subtract whatever number is necessary to create a perfect square quadratic. Recall from above that the required third term of the quadratic is this second coefficient, divided by two, and then squared.[9]
- For example, if the first two terms of your quadratic function are , you will find the needed third term by dividing 3 by 2, which gives the result 3/2, and then squaring that, to get 9/4. The quadratic is a perfect square.
- As another example, suppose your first two terms are . Half of the middle term is -2, and then you square that to get 4. The resulting perfect square quadratic is .
-
6Add AND subtract the needed third term, at the same time. This is a tricky concept but it works. By both adding and subtracting the same number in different locations of your function, you are really making no change to the value of the function. However, doing this will allow you to get your function into the proper format.[10]
- Suppose you have the function . As noted above, you will use the first two terms to work on completing the square. Using the middle term of -4x, you will generate a third term of +4. Add and subtract 4 to the equation, in the form . The parentheses are placed just to define the perfect square quadratic that you are creating. Notice the +4 inside the parentheses and the -4 on the outside. Simplify the numbers to give the result of .
-
7Factor the perfect square quadratic. The polynomial inside the parentheses should be a perfect square quadratic, which you can rewrite in the form . In the example from the prior step, , the quadratic factors into . Carry along the rest of the equation, so your solution will be . This is the same function as your original quadratic, , simply revised into standard form.[11]
- Notice that for this function, a=1, h=2, and k=5. The value of writing the equation in this form is that a, being positive, tells you that the parabola points upward. The values of (h,k) tell you the apex point at the bottom of the parabola, if you wanted to graph it.
-
8Define the domain and range of the function. The domain is the set of x-values that can be used as input into the function. The range is the set of y-values that can be the outcome. Recall that a parabola is not a function with a definable inverse, because there is not a one-to-one mapping of x-values to y-values, as a result of the symmetry of the parabola. To resolve this problem, you need to define the domain as all values of x that are greater than x=h, the apex point of the parabola.
- Continue working with the sample function . Because this is in standard format, you can identify the apex point as x=2, y=5. Thus, to avoid the symmetry, you will only work with the right-side of the graph, and set the domain as all values x≥2. Inserting the value x=2 into the function gives the result of y=5. You can see that the values of y will increase as x increases. Therefore the range of this equation is y≥5.
-
9Switch the x and y values. This is the step where you begin to find the inverted form of the equation. Leave the equation in its entirety, except for switching these variables.
- Continue to work with the function . Insert x in place of f(x), and insert y (or f(x), if you prefer) in place of x. This will yield the new function .
-
10Rewrite the inverted equation in terms of y. Using a combination of algebraic steps, and taking care to perform the same operation evenly on both sides of the equation, you will need to isolate the y variable. For the working equation , this revision will look like the following:[12]
- (original starting point)
- (subract 5 from both sides)
- ± (square root of both sides; remember that the square root results in both positive and negative possible answers)
- ± (add 2 to both sides)
-
11Determine the domain and range of the inverse function. As you did at the beginning, examine the inverted equation to define its domain and range. With two possible solutions, you will select the one that has a domain and range that are inverses of the original domain and range.
- Examine the sample equation solution of ±. Because the square root function is not defined for any negative values, the term must always be positive. Therefore, allowable values of x (the domain) must be x≥5. Using that as the domain, the resulting values of y (the range) are either all values y≥2, if you take the positive solution of the square root, or y≤2 if you select the negative solution of the square root. Recall that you originally defined the domain as x≥2, in order to be able to find the inverse function. Therefore, the correct solution for the inverse function is the positive option.
- Compare the domain and range of the inverse to the domain and range of the original. Recall that for the original function the domain was defined as all values of x≥2, and the range was defined as all values y≥5. For the inverse function, now, these values switch, and the domain is all values x≥5, and the range is all values of y≥2.
-
12Check that your inverse function works. To make sure that your work is correct and your inverse is the right equation, select any value for x and place it into the original equation to find y. Then, put that value of y in the place of x in your inverse equation, and see if you generate the number that you started with. If so, your inverse function is correct.[13]
- As a sample, select the value x=3 to place in the original equation . This gives the result y=6.
- Next, place that value of 6 into the inverse function . This does give the result of y=3, which is the number you started with. You can conclude that your inverse function is correct.
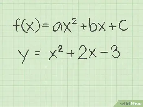
Using the Quadratic Formula
-
1Remember the Quadratic Formula for solving x. Recall that, when solving quadratic equations, one method was to factor them, if possible. If factoring did not work, then you could resort to the Quadratic Formula, which would yield the real solutions for any quadratic formula. You can use the Quadratic Formula as another method to find inverse functions.[14]
- The Quadratic Formula is x=[-b±√(b^2-4ac)]/2a.
- Notice that the Quadratic Formula will result in two possible solutions, one positive and one negative. You will make this selection based on defining the domain and range of the function.
-
2Begin with a quadratic equation to find the inverse. Your quadratic equation must begin in the format . Take whatever algebraic steps you must in order to get your equation into that form.
- For this section of this article, use the sample equation .
-
3Graph the equation to define the domain and range. Determine the graph of the function, either by using a graphing calculator or just plotting various points until the parabola appears. You will find that this equation defines a parabola with its apex at (-1,-4). Thus, to define this as a function that will have an inverse, define the domain as all values of x≤-1. The range will then be all y≥-4.
-
4Interchange the variables x and y. To begin finding the inverse, switch the variables x and y. Leave the equation unchanged, except for reversing the variables. At this stage, you will replace x for f(x).[15]
- Using the working equation , this will give the result .
-
5Set the left side of the equation equal to 0. Recall that to use the Quadratic Formula, you must set your equation equal to 0, and then use the coefficients in the formula. Similarly, this method of finding an inverse function begins by setting the equation equal to 0.
- For the sample equation, to get the left side equal to 0, you must subtract x from both sides of the equation. This will give the result .
-
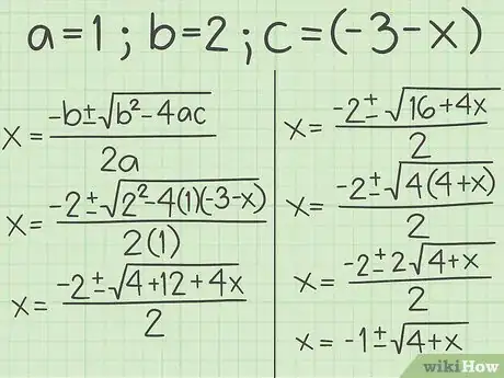
6Redefine the variables to fit the Quadratic Formula. This step is a bit tricky. Recall that the Quadratic Formula solves for x, in the equation . So, to get the equation you currently have, , to match that format, you need to redefine terms as follows:[16]
- Let . Therefore, x=1
- Let . Therefore, b=2
- Let . Therefore, c=(-3-x)
-
7Solve the Quadratic Formula using those redefined values. Normally, you would place the values of a, b and c into the Quadratic Formula to solve for x. However, recall that you previously switched x and y for finding the inverse function. Therefore, when you use the Quadratic Formula to solve for x, you are really solving for y, or the f-inverse. The steps of solving the Quadratic Formula will work like this:
- x=[-b±√(b^2-4ac)]/2a
- x=(-2)±√((-2)^2-4(1)(-3-x)) / 2(1)
- x=((-2)±√(4+12+4x))/2
- x=(-2±√(16+4x))/2
- x=(-2±√(4)(4+x))/2
- x=-2±2√(4+x))/2
- x=-1±√(4+x)
- f-inverse = -1±√(4+x) (This final step is possible because you earlier put x in place of the f(x) variable.)
-
8Write out the two possible solutions. Notice that the Quadratic Formula gives two possible results, using the ± symbol. Write out the two separate solutions to make it easier to define the domain and range and make the correct final solution. These two solutions are:
-
9Define the domain and range of the inverse function. Notice that, for the square root to be defined, the domain must be x≥-4. Recall that the domain of the original function was x≤-1 and the range was y≥-4. To choose the inverse function that matches, you will need to choose the second solution, as the correct inverse function.[17]
-
10Check that your inverse function works. To make sure that your work is correct and your inverse is the right equation, select any value for x and place it into the original equation to find y. Then, put that value of y in the place of x in your inverse equation, and see if you generate the number that you started with. If so, your inverse function is correct.
- Using the original function , choose x=-2. This will give the result of y=-3. Now put the value of x=-3 into the inverse function, . This turns out the result of -2, which is indeed the value that you started with. Therefore, your definition of the inverse function is correct.
Community Q&A
-
QuestionFind the inverse of (1 - 2x)^3
Community AnswerFirst, let me point out that this question is beyond the scope of this particular article. The article is about quadratic equations, which implies that the highest exponent is 2. Your question presents a cubic equation (exponent =3). Nevertheless, basic algebra allows you to find the inverse of this particular type of equation, because it is already in the "perfect cube" form. First, set the expression you have given equal to y, so the equation is y=(1-2x)^3. Then invert it by switching x and y, to give x=(1-2y)^3. Now perform a series of inverse algebraic steps to solve for y. These steps are: (1) take the cube root of both sides to get cbrt(x)=1-2y [NOTE: I am making up the notation “cbrt(x) to mean “cube root of x” since I can’t show it any other way here]; (2) Subtract 1 from both sides to get cbrt(x)-1=-2y; (3) Divide both sides by -2 to get (cbrt(x)-1)/-2=y; (4) simplify the negative sign on the left to get (1-cbrt(x))/2=y. The final equation should be (1-cbrt(x))/2=y. This is your inverse function. -
QuestionWhere can I find more examples so that I know how to set up and solve my homework problems?
Community AnswerThe Internet is filled with examples of problems of this nature. Google "find the inverse of a quadratic function" to find them. -
QuestionHow do I find the inverse of f(x)=1/(sqrt(x^2-1)?
Community AnswerBegin by switching the x and y terms (let f(x)=y), to get x=1/(sqrt(y^2-1). Then perform basic algebraic steps to each side to isolate y. Without getting too lengthy here, the steps are (1) square both sides to get x^2=1/(y^2-1); (2) transpose numerators and denominators to get y^2-1=1/x^2; (3) add 1 to both sides to get y^2=(1/x^2)+1; (4) square root both sides to get y=sqrt((1/x^2)+1).
References
- ↑ https://www.chilimath.com/algebra/advanced/inverse/find-inverse-quadratic-function.html
- ↑ https://www.chilimath.com/algebra/advanced/inverse/find-inverse-quadratic-function.html
- ↑ http://caps.unm.edu/mathrefresh/assets/DomainsandRanges.pdf
- ↑ http://caps.unm.edu/mathrefresh/assets/DomainsandRanges.pdf
- ↑ http://dl.uncw.edu/digilib/Mathematics/Algebra/mat111hb/PandR/quadratic/quadratic.html
- ↑ http://dl.uncw.edu/digilib/Mathematics/Algebra/mat111hb/PandR/quadratic/quadratic.html
- ↑ http://zonalandeducation.com/mmts/miscellaneousMath/perfectSquare/perfectSquare.html
- ↑ http://www.personal.kent.edu/~bosikiew/Algebra-handouts/quad-stand.pdf
- ↑ http://www.personal.kent.edu/~bosikiew/Algebra-handouts/quad-stand.pdf
- ↑ http://www.personal.kent.edu/~bosikiew/Algebra-handouts/quad-stand.pdf
- ↑ http://www.personal.kent.edu/~bosikiew/Algebra-handouts/quad-stand.pdf
- ↑ https://www.chilimath.com/algebra/advanced/inverse/find-inverse-quadratic-function.html
- ↑ https://www.chilimath.com/algebra/advanced/inverse/find-inverse-quadratic-function.html
- ↑ https://www.chilimath.com/algebra/advanced/inverse/find-inverse-quadratic-function.html
- ↑ https://www.chilimath.com/algebra/advanced/inverse/find-inverse-quadratic-function.html
- ↑ https://www.chilimath.com/algebra/advanced/inverse/find-inverse-quadratic-function.html
- ↑ https://www.chilimath.com/algebra/advanced/inverse/find-inverse-quadratic-function.html
About This Article
To find the inverse of a quadratic function, start by simplifying the function by combining like terms. Then, determine the domain and range of the simplified function. Once you have the domain and range, switch the roles of the x and y terms in the function and rewrite the inverted equation in terms of y. Finally, determine the domain and range of the inverse function. To learn how to find the inverse of a quadratic function by completing the square, scroll down!














































































































